2025年1月1日海关编码新增变更停用及税则参数总表

1、编码变更列表

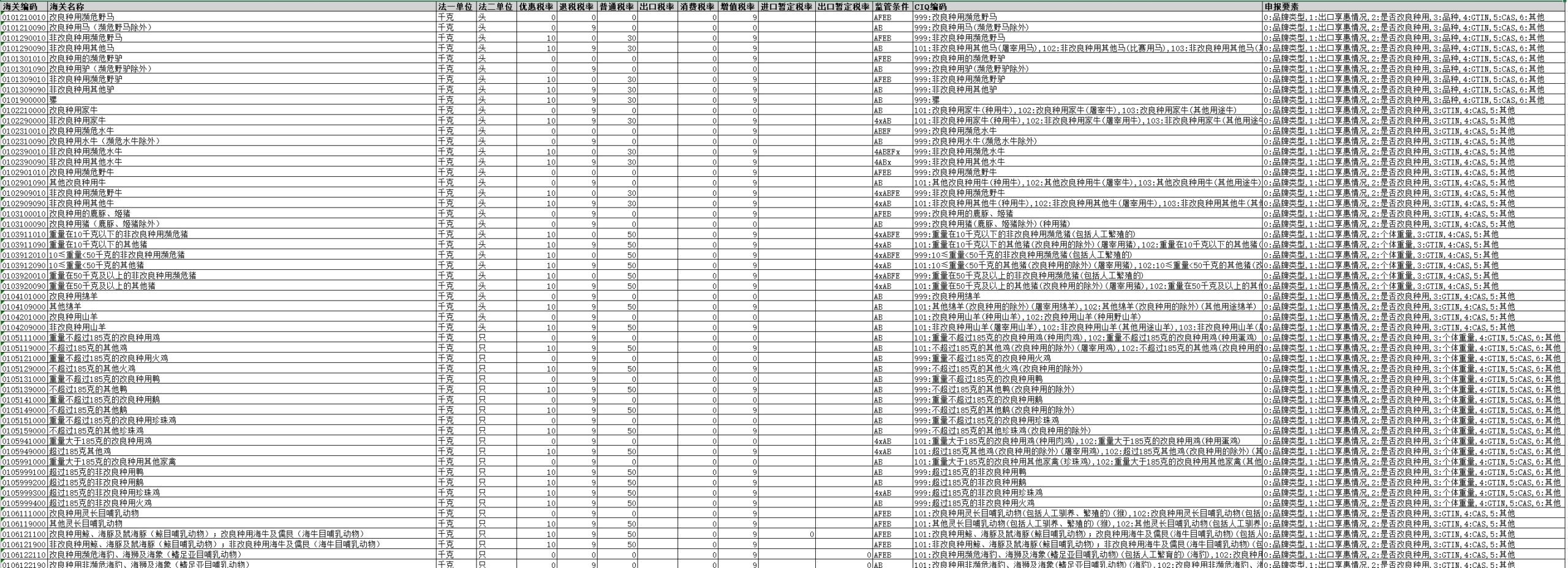
2、更新主列表

3、海关停用编码列表

4、海关新增编码列表

5、申报要素变更列表

6、税则总表

原创文章,作者:howkunet,如若转载,请注明出处:https://www.intoep.com/ecommerce/64719.html
2025年1月1日海关编码新增变更停用及税则参数总表

1、编码变更列表

2、更新主列表

3、海关停用编码列表

4、海关新增编码列表

5、申报要素变更列表

6、税则总表

原创文章,作者:howkunet,如若转载,请注明出处:https://www.intoep.com/ecommerce/64719.html
微信赞赏
支付宝赞赏
评论列表(20条)
感谢分享
谢谢分享
感谢分享
Thank you for sharing!
谢谢
感谢
感谢分享
学习
感谢分享,学习
感谢分享
感谢分享
感谢分享
谢谢分享!
非常感谢
1257
学习,学习
感谢好人,希望是完整版本。
太好了,感谢分享
感谢分享
感谢分享